Home Favorites My Account Menu
acceso
Anuncio

Ejercicios de números negativos

List View (old)
Image Size
Smaller Larger
×
Determinando el valor Enlace
Comparar números negativos
 - comparar-numeros-negativos worksheet  - comparar-numeros-negativos worksheet
Ubicación número negativo en la recta numérica
 - ubicacion-numero-negativo-en-la-recta-numerica worksheet  - ubicacion-numero-negativo-en-la-recta-numerica worksheet
Números negativos Mayor y Menor
 - numeros-negativos-mayor-y-menor worksheet  - numeros-negativos-mayor-y-menor worksheet
Encontrando los Opuestos
 - encontrando-los-opuestos worksheet  - encontrando-los-opuestos worksheet
Comprensión del Valor Absoluto
 - comprension-del-valor-absoluto worksheet  - comprension-del-valor-absoluto worksheet
Comparando con Valor Absoluto
 - comparando-con-valor-absoluto worksheet  - comparando-con-valor-absoluto worksheet
Ordenar números enteros positivos y negativos (opción múltiple)
 - ordenar-numeros-enteros-positivos-y-negativos-opcion-multiple worksheet  - ordenar-numeros-enteros-positivos-y-negativos-opcion-multiple worksheet
Encontrar la expresión equivalente con números negativos
 - encontrar-la-expresion-equivalente-con-numeros-negativos worksheet  - encontrar-la-expresion-equivalente-con-numeros-negativos worksheet
Anuncio
Suma y resta Enlace
Forma estándar con recta numérica
 - forma-estandar-con-recta-numerica worksheet  - forma-estandar-con-recta-numerica worksheet
Forma estandar
 - forma-estandar worksheet  - forma-estandar worksheet
Sumando y Restando a cero
 - sumando-y-restando-a-cero worksheet  - sumando-y-restando-a-cero worksheet
Suma y resta de números racionales
 - suma-y-resta-de-numeros-racionales worksheet  - suma-y-resta-de-numeros-racionales worksheet
Mostrar la distancia con una recta numérica
 - mostrar-la-distancia-con-una-recta-numerica worksheet  - mostrar-la-distancia-con-una-recta-numerica worksheet
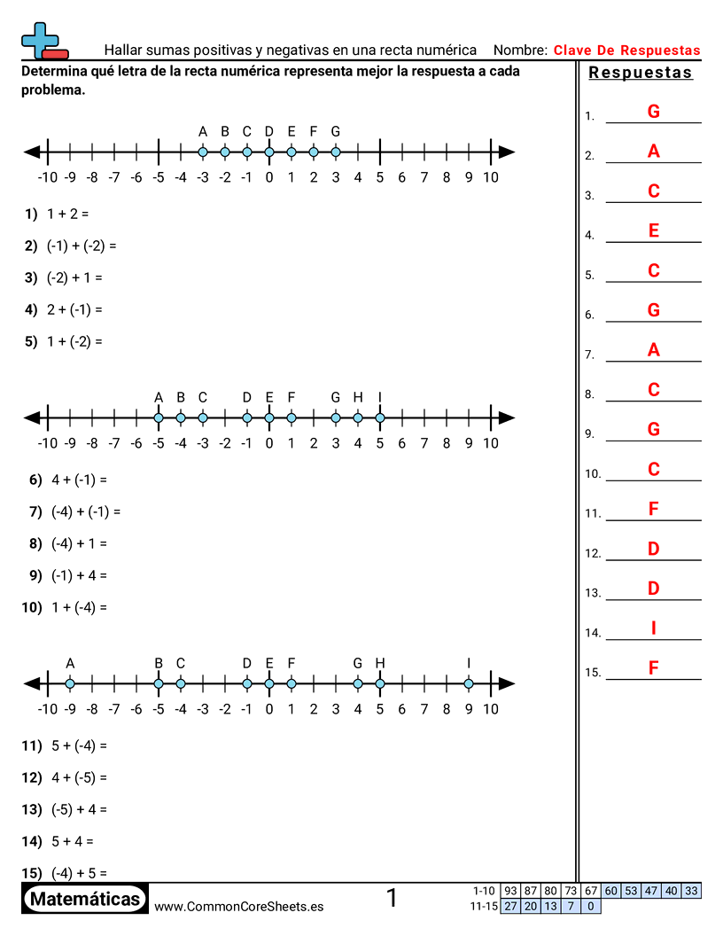
Hallar sumas positivas y negativas en una recta numérica
 - hallar-sumas-positivas-y-negativas-en-una-recta-numerica worksheet  - hallar-sumas-positivas-y-negativas-en-una-recta-numerica worksheet
Anuncio
Multiplicación y división Enlace
Anuncio